Go to previous page Go up Go to next page

6.3 The Einstein–Langevin equation

With the previous results for the kernels we can now write the n-dimensional Einstein–Langevin equation (87View Equation), previous to the renormalization. Taking also into account Equations (82View Equation) and (83View Equation), we may finally write:
1 4 ------G (1)μν(x) − -αBD (1)μν(x) − 2βBB (1)μν(x) 8 πGB [ 3 ] --κn-- --m2--- (1)μν -1- (1)μν 2 (1)μν + (4π)2 − 4Δ ξ(n − 2) G + 90 D Δ ξ B (x) { ( ) ---1--- 16- (1)μν 1- (1)μν + 2880 π2 − 15 D (x ) + 6 − 10 Δξ B (x) [ ] ∫ ∫ dnp ( m2 )2 ( m2 )2 + dny -----neip(x−y)ϕ(p2) 1 + 4 -2- D (1)μν(y) + 10 3Δ ξ + -2- B (1)μν(y) (2π ) p p 2∫ } − m-- dnyΔn (x − y) (8D (1)μν + 5B (1)μν)(y) 3 ∫ + 1- dnyμ −(n−4)H μναβ(x, y)hαβ(y) + 𝒪 (n − 4) = ξμν(x). (104 ) 2 An
Notice that the terms containing the bare cosmological constant have cancelled. These equations can now be renormalized, that is, we can now write the bare coupling constants as renormalized coupling constants plus some suitably chosen counterterms, and take the limit n → 4. In order to carry out such a procedure, it is convenient to distinguish between massive and massless scalar fields. The details of the calculation can be found in [209Jump To The Next Citation Point].

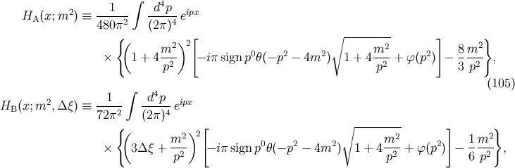
It is convenient to introduce the two new kernels

∫ 2 --1--- -d4p-- ipx HA (x;m ) ≡ 480π2 (2π )4 e { [ ∘ --------- ] } ( m2 )2 m2 8 m2 × 1 + 4--2 − iπ signp0θ(− p2 − 4m2 ) 1 + 4--2 + ϕ (p2) − ---2- , p p 3 p ∫ (105 ) 2 --1-- -d4p-- ipx HB (x;m ,Δ ξ) ≡ 72π2 (2π)4 e { [ ∘ --------- ] } ( m2 )2 m2 1 m2 × 3Δ ξ + --2 − iπ sign p0θ(− p2 − 4m2 ) 1 + 4--2 + ϕ(p2) − ---2- , p p 6 p
where 2 ϕ(p ) is given by the restriction to n = 4 of expression (102View Equation). The renormalized coupling constants 1∕G, α, and β are easily computed as it was done in Equation (85View Equation). Substituting their expressions into Equation (104View Equation), we can take the limit n → 4, using the fact that, for n = 4, D (1)μν(x) = 32A (1)μν(x), we obtain the corresponding semiclassical Einstein–Langevin equation.

For the massless case one needs the limit m → 0 of Equation (104View Equation). In this case it is convenient to separate κn in Equation (86View Equation) as 1 2 2 κn = &tidle;κn + 2 ln(m ∕ μ ) + 𝒪 (n − 4), where

( γ )n−24- ( γ) &tidle;κn ≡ --1--- e-- = --1---+ 1-ln -e- + 𝒪(n − 4 ), (106 ) n − 4 4π n − 4 2 4 π
and use that, from Equation (102View Equation), we have
[ 2] | 2| lim ϕ(p2) + ln m-- = − 2 + ln||p--||. (107 ) m2 →0 μ2 |μ2 |
The coupling constants are then easily renormalized. We note that in the massless limit, the Newtonian gravitational constant is not renormalized and, in the conformal coupling case, Δ ξ = 0, we have that βB = β. Note also that, by making m = 0 in Equation (94View Equation), the noise and dissipation kernels can be written as
2 2 2 NA (x;m = 0) = N (x), NB (x;m = 0,Δ ξ) = 60Δ ξ N (x), D (x;m2 = 0) = D (x), D (x;m2 = 0,Δ ξ) = 60Δ ξ2D (x), (108 ) A B
where
∫ 4 ∫ 4 N (x) ≡ --1-- -d-p--eipxθ(− p2), D (x) ≡ -−-i- -d-p-eipx sign p0θ(− p2). (109 ) 480π (2π )4 480 π (2 π)4
It is also convenient to introduce the new kernel
∫ 4 [ || 2|| ] H (x;μ2) ≡ ---1-- -d-p-eipx ln |p-|− iπ signp0 θ(− p2) 480 π2 (2 π)4 |μ2| 1 ∫ d4p ( − (p0 + iε)2 + pip ) = -----2 lim ----4-eipx ln ---------2-------i . (110 ) 480 π ε→0+ (2π ) μ
This kernel is real and can be written as the sum of an even part and an odd part in the variables xμ, where the odd part is the dissipation kernel D (x ). The Fourier transforms (109View Equation) and (110View Equation) can actually be computed and, thus, in this case we have explicit expressions for the kernels in position space; see, for instance, [17956137Jump To The Next Citation Point].

Finally, the Einstein–Langevin equation for the physical stochastic perturbations h μν can be written in both cases, for m ⁄= 0 and for m = 0, as

--1--G(1)μν(x) − 2(α¯A (1)μν(x) + ¯βB (1)μν(x)) ∫ 8πG 1- 4 (1)μν (1)μν μν + 4 d y[HA (x − y)A (y) + HB (x − y)B (y )] = ξ (x), (111 )
where in terms of the renormalized constants α and β the new constants are 2 −1 ¯α = α + (3600 π ) and β¯= β − ( 112 − 5Δ ξ)(2880 π2)−1. The kernels HA (x) and HB (x) are given by Equations (105View Equation) when m ⁄= 0, and HA (x ) = H (x; μ2), HB (x ) = 60 Δ ξ2H (x; μ2) when m = 0. In the massless case, we can use the arbitrariness of the mass scale μ to eliminate one of the parameters ¯α or ¯β. The components of the Gaussian stochastic source μν ξ have zero mean value, and their two-point correlation functions are given by ⟨ξμν(x)ξαβ(y)⟩s = N μναβ(x,y), where the noise kernel is given in Equation (95View Equation), which in the massless case reduces to Equation (108View Equation).

It is interesting to consider the massless conformally coupled scalar field, i.e., the case Δ ξ = 0, which is of particular interest because of its similarities with the electromagnetic field, and also because of its interest in cosmology: Massive fields become conformally invariant when their masses are negligible compared to the spacetime curvature. We have already mentioned that for a conformally coupled field, the stochastic source tensor must be traceless (up to first order in perturbation theory around semiclassical gravity), in the sense that the stochastic variable ξμμ ≡ ημνξ μν behaves deterministically as a vanishing scalar field. This can be directly checked by noticing, from Equations (95View Equation) and (108View Equation), that, when Δ ξ = 0, one has ⟨ξμ(x)ξαβ(y)⟩s = 0 μ, since μ ℱ μ = 3□ and μα β αβ ℱ ℱμ = □ ℱ. The Einstein–Langevin equations for this particular case (and generalized to a spatially flat Robertson–Walker background) were first obtained in [58Jump To The Next Citation Point], where the coupling constant β was fixed to be zero. See also [169Jump To The Next Citation Point] for a discussion of this result and its connection to the problem of structure formation in the trace anomaly driven inflation [269Jump To The Next Citation Point280Jump To The Next Citation Point132Jump To The Next Citation Point].

Note that the expectation value of the renormalized stress-energy tensor for a scalar field can be obtained by comparing Equation (111View Equation) with the Einstein–Langevin equation (14View Equation), its explicit expression is given in [209Jump To The Next Citation Point]. The results agree with the general form found by Horowitz [137Jump To The Next Citation Point138Jump To The Next Citation Point] using an axiomatic approach, and coincides with that given in [91Jump To The Next Citation Point]. The particular cases of conformal coupling, Δξ = 0, and minimal coupling, Δξ = − 1∕6, are also in agreement with the results for these cases given in [137Jump To The Next Citation Point138Jump To The Next Citation Point27057182Jump To The Next Citation Point], modulo local terms proportional to (1)μν A and (1)μν B due to different choices of the renormalization scheme. For the case of a massive minimally coupled scalar field, 1 Δ ξ = − 6, our result is equivalent to that of [276].


  Go to previous page Go up Go to next page