Árboles AVL

Sebastián Gurin (Cancerbero)



Table of Contents
Introducción
Menor cantidad posible de nodos para una altura dada
Declaración del tipo de dato
Consideraciones sobre la altura de los nodos
Rotaciones simples
Rotaciones dobles
Balance del árbol
Inserción
Eliminación
Conclusión
Performance
Bibliography
A. GNU Free Documentation License

Introducción

Definición. Un árbol AVL es un árbol binario de búsqueda que cumple con la condición de que la diferencia entre las alturas de los subárboles de cada uno de sus nodos es, como mucho 1.

La denominación de árbol AVL viene dada por los creadores de tal estructura (Adelson-Velskii y Landis).

Recordamos que un árbol binario de búsqueda es un árbol binario en el cual cada nodo cumple con que todos los nodos de su subárbol izquierdo son menores que la raíz y todos los nodos del subárbol derecho son mayores que la raíz.

Recordamos también que el tiempo de las operaciones sobre un árbol binario de búsqueda son O(log n) promedio, pero el peor caso es O(n), donde n es el número de elementos.

La propiedad de equilibrio que debe cumplir un árbol para ser AVL asegura que la profundidad del árbol sea O(log(n)), por lo que las operaciones sobre estas estructuras no deberán recorrer mucho para hallar el elemento deseado. Como se verá, el tiempo de ejecución de las operaciónes sobre estos árboles es, a lo sumo O(log(n)) en el peor caso, donde n es la cantidad de elementos del árbol.

Sin embargo, y como era de esperarse, esta misma propiedad de equilibrio de los árboles AVL implica una dificultad a la hora de insertar o eliminar elementos: estas operaciones pueden no conservar dicha propiedad.

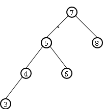
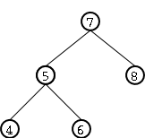
Figure 1. Árbol AVL de enteros

A modo de ejemplificar esta dificultad, supongamos que al árbol AVL de enteros de Figure 1 le queremos agregar el entero 3. Si lo hacemos con el procedimiento normal de inserción de árbols binarios de búsqueda el resultado sería el árbol de Figure 2 el cual ya no cumple con la condición de equilibrio de los árboles AVL dado que la altura del subárbol izquierdo es 3 y la del subárbol derecho es 1.

Figure 2. Árbol que no cumple con la condición de equilibrio de los árboles AVL.

En the Section called Rotaciones simples se pasará a explicar una serie de operaciones sobre los nodos de un árbol AVL con las cuales poder restaurar la propiedad de equilibrio de un árbol AVL luego de agregar o eliminar elementos.