2017-09-05 
       
       Betascript Mathematical Notation 
       
 (IMG) Image
       
       Betascript got a mathematical notation. I tried to shed off
       traditional math notation as well as I could from a lifetime of
       indoctrination. Things that specifically got to go were fractional
       notation, representing equations as, well, equations, zero, and all
       the shenanigans with logarithms. The latter was heavily inspired by
       the Triangle_of_Power, a very useful notation that helps (YMMV)
       unify exponentiation, taking roots, and logarithms. So here goes.
       
       The number system is duodecimal (base 12, dozenal) and the digits
       are slightly uncomfortably simple. 12 would have been small enough
       of a set to have completely different glyphs, but let's say Beta
       culture was developed by the kind of people that develop number
       systems.
       
 (IMG) Numbers
       
       The system is bijectional, meaning every numeral corresponds with
       exactly one number, unlike our system that has has redundancies
       like 1 = 01 = 001 etc. This is a rather roundabout way of saying
       that the system doesn't use zero, like Ancient_Klingon . This
       should clear out any confusion, things to pay attention to are
       underlined:
       
 (IMG) Numbers cont'd
       
       Decimals are expressed by basically using the equivalent of
       scientific notation to shift the 'point'
       
 (IMG) Decimals
       
       Sums and products can be expressed in a variety of ways, with
       binary operators or surrounding with different kinds of brackets,
       or both. Simply stringing symbols together is considered summation.
       
 (IMG) Sums, products
       
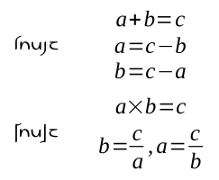
       There is no separate symbols for the reverses, ie. subtraction and
       division, nor for equalness. The relation is expressed just by
       writing the result next to the operation. (This probably leads to
       problems, but let's call this notation a draft...)
       
 (IMG) Sums, products cont'd
       
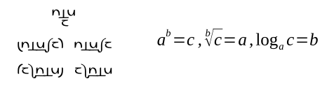
       The same principle of stating a relation is used to combine
       exponentiation, taking a root, and logarithms. The default form is
       <base>⊥<exponent> over <result>, and some additional notation
       allows you to write the result on the same line, left or right,
       optionally enclosed in brackets.
       
 (IMG) Exponents, logarithms
       
       If the need arises to refer to one of the variables (ie. as in
       'selecting' one of the three types of operation), one can use a dot
       to denote what is considered the result. The same can be used to
       denote division and subtraction.
       
 (IMG) Exponents, logarithms cont'd
       
       The symbol for e is a square, and it forms a ligature with the
       exponentiation sign.
       
 (IMG) Neper
       
       Minus one, the ubiquitous unsung constant, has its own symbol. Used
       with different operations it yields useful things like negative
       numbers, reciprocals, and another useful constant, namely zero.
       Ligatures get formed, and the imaginary unit gets a further
       simplified symbol.
       
 (IMG) Negative numbers
       
       Trigonometry tries to make sense with the circle_constant and
       functions that hint at their meaning. Zero degrees is y-axis, not
       our x. This might be a bad idea. Again using the idea of expressing
       a relation, the reverse operations are expressed by omitting the
       argument of the forward version.
       
 (IMG) Trigonometry
       
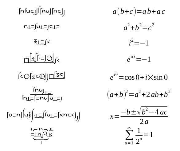
       Finally, some familiar formulas rendered in Betascript. The last
       example adds a simple notation for summing series and a sign for
       infinity. As I'm a beginner in this notation, there might be
       mistakes or ambiguities.
       
 (IMG) Formulas
       
       I can't say anything about the practicality of this system in
       actually doing mathematics, but creating it certainly was
       interesting. Some things like the role of -1 fell nicely into
       place. I have a hunch that similar clicking might happen if one
       were to go further with this, like with learning any new way of
       looking at things, like the aforementioned Triangle of Power,
       reverse Polish notation, or Haskell.
       
       The logical next steps from here would be a) to test the system on
       actually doing maths, and b) extending it to calculus. My
       understanding of the latter is, however, probably too shallow to
       see clearly enough to be able to create anything interestingly
       different or logical.   Comments welcome.
       
       (The font was done in Fontforge, equations typeset in Libreoffice
       and tweaked in Inkscape.)
       
       (Hello to readers of Conlang_Blog_Aggregator, first post here!)