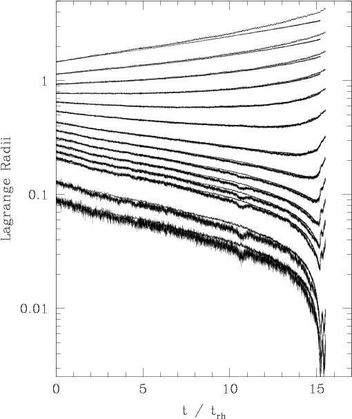
Figure 4

Figure 4: Lagrange radii indicating the evolution of a Plummer model globular cluster for an N-body simulation and a Monte Carlo simulation. The radii correspond to radii containing 0.35, 1, 3.5, 5, 7, 10, 14, 20, 30, 40, 50, 60, 70, and 80% of the total mass. Figure taken from Joshi et al. [126].